在材料或构件的疲劳测试中,即使控制工况(如应力水平、环境温度、加载频率)完全一致,疲劳寿命数据仍普遍存在显著分散性——这源于材料内部缺陷(如夹杂、晶界差异)、试样加工误差、测试系统波动等多因素的随机影响。
这种分散性导致疲劳寿命无法通过单一数据直接精准预测,因此必须引入统计学方法,建立“寿命-概率-置信度”的关联模型,才能实现保守且可靠的疲劳分析,满足工程设计对安全性的要求。
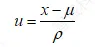
首先,对于试验得到的同一工况下的疲劳数据是符合正态分布的。对于正态分布,用以下公式描述,即

(1.1)
式中,μ为平均值,ρ为标准差。
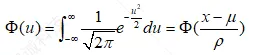
我们知道正态分布是由两个参数μ与ρ确定的。对于任意一个服从N (μ,ρ2)分布的随机变量X,经过下面的变换以后都可以转化为μ=0,ρ=1的标准正态分布。转换公式为:

(1.2)
标准正态分布概率密度函数为

(1.3)
疲劳统计分析的任务是要回答:在给定的应力水平下,寿命为N时的失效概率Pf或存活概率Ps是多少?或者说,在给定的失效概率Pf或存活概率Ps下的寿命N是多少?
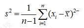
我们定义样本的平均值为

(1.4)
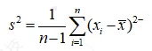
方差为

(1.5)
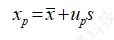
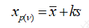
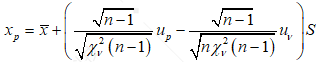
通过对式(1.2)进行转换,我们可以得到与失效概率Pf对应的对数疲劳寿命xp为

(1.6)
我们用样本均值与标准差替代式(1.6)的对应部分,可得

(1.7)
但是,替换为样本的均值和标准差会导致概率问题,因为样本并不能完整体现整体,安全寿命的失效概率P是针对样本中的个体而言的。直接使用样本的均值和标准差,其置信度为50%。若想提高置信度,需要通过t分布或者卡方分布对样本相对于整体的概率进行统计。
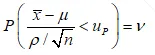
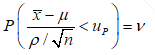
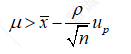
我们现在已知
,若想对疲劳寿命的估计更加保守则需要将μ的值估计得小一点。假设我们现在想要获得置信度为
的概率,可以记作

(1.8)
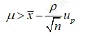
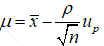
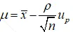
将式(1.8)中的不等式进行移相,可得

(1.9)
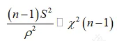
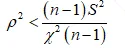
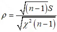
我们既要保守估计,就是将μ取最小值,此时
。但式(1.6)中的ρ依旧是属于总体的标准差,我们还需要通过t分布建立总体与样本间的关系,t分布的概率密度函数为

(1.10)
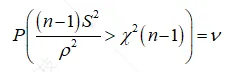
由于t分布是对右侧进行统计,所以我们需要将ρ取最大值,与式(1.8)一样,我们将t分布记作

(1.11)
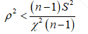
将式(1.11)中的不等式进行移相,可得

(1.12)
我们对ρ取最大值,此时
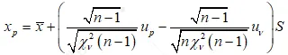
。至此,我们已经将总体和样本的均值和标准差建立了关系,将其代会式(1.6)整理可得

(1.13)
式中,
,是与置信度v相关的标准正态分布变量的值,可由正态分布函数表查得。我们还可以将式(1.13)简写为

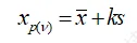
(1.14)
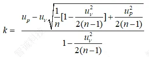
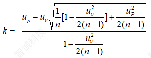
式中k称为单侧容积系数,可以根据下式确定

(1.15)
据此,才能有
的把握说,在该应力水平下,至少有PS%的疲劳寿命大于N。
获取正版软件免费试用资格,有任何疑问拨咨询热线:400-886-6353或 联系在线客服
未解决你的问题?请到「问答社区」反馈你遇到的问题,专业工程师为您解答!