J-C本构在冲击动力学中是应用最为广泛的本构模型,其模型方程如下

可以看到J-C本构的主体由三部分构成,分别表征了材料的应变硬化、应变速率强化以及热软化。模型全方位考虑了流变应力与应变、应变速率以及温度之间的关系,能够满足各种条件下的仿真材料需求。需要指出的是J-C本构,采用简单的乘积形式将三项联立,说明模型只是单独考虑了应变、应变速率和温度的影响,而并未考虑各因素之间的耦合影响,所以在一些特殊情况下模型的精度可能会存在一些问题,因此在J-C本构的基础上也有很多研究,对其进行了修正。J-C的简单乘积形式带来的好处是,在参数的拟合上可以分开拟合,十分简洁。
模型中A,B,n,C,m为五大材料物理特性常数,下一部分将简要讲述拟合获取方式。
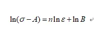
在室温及参考应变速率条件下开展试验时,本构模型中的应变速率项与温度项均退化为常数1。参数A表示该实验条件下的初始屈服应力。对实验数据取对数后,可得到线性关系,通过拟合直线的斜率和截距,即可求解出参数n和B。至此,模型第一部分的参数A、B和n全部确定。

在室温条件下进行不同应变速率下的试验,选取相同应变对应的应力值进行拟合。由于温度项在室温下仍为1,且在同一应变下应变硬化项也为固定值,该值可通过前一步拟合结果计算得出。此时,本构模型可简化为一次方程形式。通过对实验数据进行线性拟合,即可得到应变速率常数C。

温度常数m的拟合思路与应变速率常数C相似。首先,在固定应变速率下,进行一组不同温度的试验,并选取相同应变下的应力数据。此时,结合前两步已求得的参数,模型可简化为仅含温度项的函数关系。

对该关系式两边取对数,可将问题转化为线性拟合,拟合所得直线的斜率即为热软化指数m的值。至此,Johnson-Cook本构模型的五个核心参数已全部确定。
获取正版软件免费试用资格,有任何疑问拨咨询热线:400-886-6353或 联系在线客服
未解决你的问题?请到「问答社区」反馈你遇到的问题,专业工程师为您解答!