近十年来,我一直深耕基于有限元法的结构分析领域。初入此行时,我还是一名刚毕业的工科生,虽手握学位,却对自己在结构力学领域的认知空白毫无察觉。彼时我接触到了 Abaqus 这款功能强大、实用性突出的分析工具,随即就面临了一系列复杂的工程问题挑战。我深深迷上了这款工具,开始潜心钻研网格质量、求解器技术、接触分析、单元公式等全新的专业概念。起初,我并未重视材料属性的设置,毕竟我学过材料力学的基础课程,便想当然地认为这部分内容并不复杂。当时我在塑性金属的仿真分析中屡屡取得理想结果,直到首个弹性体仿真任务落到我手上。我心想,当然可以,不妨一试……
或许是记忆模糊,我竟想不起是否有过为期一周的课程,讲解过超弹性这一晦涩的概念。我开始着手弹性体的建模工作,坦率地说,过了很久我才意识到,自己对这个领域的了解竟如此匮乏。所幸的是,这些年我十分有幸能与达索系统以及阿克塞尔物理测试服务公司的专业团队并肩合作,也正因如此,我对弹性体建模这一复杂课题有了更深入的理解。在这个过程中,我积累了诸多关于这类高难度材料建模的重要经验,现结合阿克塞尔物理测试服务公司提供的试验数据和图示,将其中 6 个核心技巧分享给大家。
1. 材料建模中避免直接使用邵氏硬度值
弹性体的材料数据表中,通常会将邵氏硬度值作为描述材料硬度的指标。该数值是工程师在为具体应用场景甄选合适弹性体时,开展初步沟通的重要参考。但在建模过程中,若能获取材料实际的应力 - 应变数据,能大幅提升模型的精准度。目前,部分材料供应商已开始为其产品提供详尽的试验数据,这也是行业内的一个良好发展趋势。
若仅能获取邵氏硬度值,可通过根特关系式计算出材料的弹性模量,再通过该弹性模量进一步计算剪切模量和体积模量,将其转换为 neo-Hookean(neo-Hooke)材料模型。将线性弹性模型、neo-Hookean 模型的计算结果与下述的单轴拉伸试验数据对比后可以发现,这两类模型仅在极小的应变范围内(本文案例中为 5% 及以下)与试验数据具有相关性。如果你的仿真分析仅涉及小应变工况,这类易获取、易计算的模型或许是不错的选择。但如果需要分析大应变工况,则需选用更精细化的材料模型。

2. 仅采用单轴拉伸试验数据建模易产生问题
当分析涉及大应变工况时,你可能会向材料供应商索要相关数据,对方通常会提供单轴拉伸试验的应力 - 应变数据。Abaqus 中提供了多种可拟合单轴拉伸试验数据的材料模型,其中最常用的为马罗模型(Marlow)和奥格登模型(Ogden)。但需要重点注意的是,要全面表征弹性体的力学特性,还需获取另外两种应变状态下的试验数据,即平面拉伸和双轴拉伸试验数据。

表征弹性体所需的三种应变状态
完成单轴、平面、双轴(又称等双轴)拉伸这三项弹性体力学试验后,工程师即可通过选定的应变能密度函数(如马罗、奥格登、穆尼 - 里夫林等模型),精准表征弹性体的所有变形模式。此外,对于弹性体受约束的应用工况,第四项试验 —— 体积压缩试验也至关重要,该部分内容将在后续文章中详细讲解。

单轴、平面和双轴弹性体物理测试
理想情况下,我们会通过上述三项试验全面表征弹性体的变形模式,但实际工作中若仅能获取单轴拉伸试验数据,会存在哪些风险?又该如何选择模型?事实上,仅依靠单轴拉伸数据也可完成任意材料模型的校准,但需明确的是,若仅依靠单轴拉伸数据,部分材料模型对双轴或平面拉伸的响应预测会与实际严重不符,即便其对单轴拉伸数据的拟合度极佳。
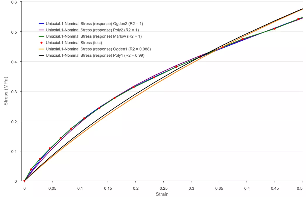
举个例子,我们仅采用单轴拉伸试验数据,分别校准马罗模型、一阶 / 二阶奥格登模型、一阶 / 二阶多项式模型,再将各模型的双轴拉伸响应计算结果与实际双轴拉伸试验数据进行对比。

单轴张力测试与响应
从上图中可以看到,马罗模型、二阶奥格登模型和二阶多项式模型与单轴拉伸试验数据的拟合度达到了完美的 R²=1,一阶奥格登模型和一阶多项式模型的拟合优度也达到了 0.99。若不结合双轴试验数据分析,工程师若习惯使用高阶模型,很容易选择二阶多项式或二阶奥格登模型。但结合双轴试验数据后,我们将未通过双轴数据校准的各模型预测结果与实际双轴试验数据绘制成图进行对比,结果会截然不同。

双轴张力测试与响应
对比后可发现,马罗模型、一阶奥格登模型和一阶多项式模型的双轴拉伸响应预测结果与试验数据的相关性相对较好;而二阶奥格登模型和二阶多项式模型的双轴拉伸响应预测结果则出现失稳,完全不具备使用价值。因此,若仅能获取单轴拉伸试验数据,应坚决避免使用二阶及更高阶的材料模型。其中马罗模型在这类场景下表现最优,是首选方案 —— 该模型可直接拟合试验数据(对单轴拉伸响应的预测与试验数据完全吻合),且对双轴 / 平面拉伸的响应预测始终合理、稳定。
3. 高阶材料模型建模宜简不宜繁(少即是多)
当我们获取了单轴、平面、双轴三种应变状态的完整试验数据后,会开始尝试拟合奥格登或多项式模型。若一阶、二阶模型的拟合效果不佳,工程师很容易想要尝试更高阶的模型。但高阶模型存在明显的风险:在仿真分析关注的应变范围内,高阶模型更容易出现失稳问题。
什么是材料失稳?
材料失稳指的是外部载荷作用下材料产生非负功的现象,这一现象在物理层面是不存在的。那么非负功又是如何产生的?校准材料模型的本质是通过优化算法,最小化三种应变状态下的试验应力 - 应变数据与模型预测值之间的误差。超弹性材料模型(又称应变能密度函数)会构建一个三维响应面,工程师通过该响应面预测材料在分析中面临的复杂应变状态。而高阶函数会产生更多的局部极大值和极小值,导致响应面或应变能密度函数的非凸性加剧,这正是引发非负功和材料失稳的根源。

稳定响应曲面(左)和不稳定响应曲面(右)的示例
材料模型失稳会给仿真分析带来诸多问题,例如求解收敛失败、网格异常主导计算结果、应力或应变预测结果不可控等。若材料在任意变形模式下的应变超出了其稳定极限,基于该模型的计算结果不可用于工程决策。建议尽可能使用一阶或二阶模型,即便其拟合效果并非完美。工程师可通过 Abaqus 的材料评估(Material Evaluate) 功能,或 3DEXPERIENCE 平台的材料校准工具,检查材料模型的稳定性,如下所示。

4. 建模时需考虑马林斯效应
开展弹性体仿真分析时,必须结合产品的实际载荷状态。材料在初始加载和后续加载 / 循环加载下的力学响应存在显著差异,这一现象被称为马林斯效应(Mullins Effect)。如下例所示,弹性体在初始加载时沿曲线 1 上升,卸载时沿曲线 2 下降;当再次加载时,会先沿曲线 2 上升至曲线 3,随后卸载沿曲线 4 下降,以此类推。

弹性体马林斯效应应力 - 应变示意图
马林斯效应是弹性体建模中不可忽视的重要特性,因为部分应用工况需要区分材料的初始加载(第一循环)和经预载后的循环加载响应。举个例子,若要分析橡胶衬套在常规循环载荷下的工作性能,就必须考虑其在制造安装过程中受到的预加载循环带来的影响,才能得到精准的分析结果。
Abaqus 及多数非线性结构分析软件均支持在超弹性材料模型中纳入马林斯效应的影响。工程师可先对模型进行一次加载,获取材料的初始结构响应,再通过软件进行后续加载,得到材料经预载后的响应特性。另一种常用方法是,将经过循环加载后的应力 - 应变试验数据作为模型的初始响应数据,仅通过单一载荷工况,即可在分析中得到材料经预载后的响应特性。

左图:周期性单轴拉力。右图:通过提取和归零循环载荷单轴张力数据生成的单加载简单张力曲线
5. 选用与实际应用工况匹配的应变范围数据
弹性体通常具有极大的极限应变,基于试验数据构建材料模型时,应选择与产品实际服役应变范围相匹配的试验数据。当然,试验数据的应变范围过小会引发问题 —— 模型无法对超出校准应变范围的工况进行有效响应预测。但试验数据的应变范围过大,同样会带来问题。例如,若产品实际服役的应变范围为 30%,而建模时使用了应变范围达 300% 的试验数据,不仅会大幅增加模型校准的难度,还可能导致模型响应失稳。反之,若选取 50% 应变以内的试验数据进行建模,模型校准过程会更简便,分析结果也会更精准、稳定。
6. 接受行业专家的专业培训
近期,我们举办了多场Abaqus弹性体测试与分析课程。该课程系统讲解了弹性体物理试验基础、超弹性理论,以及在 Abaqus 和 3DEXPERIENCE 平台中进行材料模型校准的实操方法,我强烈推荐各位工程师学习查看!我们智诚科技ICT成立于 1994 年,致力于成为中国制造业企业首选的咨询服务合作伙伴,助力中国制造业发展,引领企业创新。。
获取正版软件免费试用资格,有任何疑问拨咨询热线:400-886-6353或 联系在线客服
未解决你的问题?请到「问答社区」反馈你遇到的问题,专业工程师为您解答!